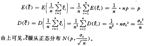
随机误差一般遵从正态分布,话务模拟结果出现的误差也是服从正态分布的o若总体w取值服从正态分布N(》,i),则样本&.当容 量很大时也服从正态分布Nd),其中力和。。分别是随机变量f 的数学期望和均方差。由数理统计可知,样本平均值?也是服从正态 分布的,下面求出随机变量7的数学期望和方差:
模拟结果为所获数据(一个样本)的平均值&而准确结果应是总 体£的数学期望E(E)=》,所以模拟结果的误差为误差的大 小(精度)一般是按给定的概率来估计的,如“模拟结果的误差以概率 。不小于S”。
模拟结果的误差估计
更新时间:2020-09-09