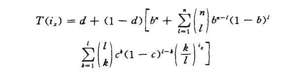
示于图8. 38的一种典型的四级网络通路图有两级分配点,即A 级和B级。采用便于递推的(8.24)式。如 果是两级,通过A分配点可得到一 组乙值,当乙21,7(八)=们与乙 大小无关,如图8. 39(a)所示。对于 图8. 38的四级网络,则7(乙)相当 于让次选试在B点与E点间的阻 塞率,如图8.39(b)所示。B也是分 配点,故B至E间的阻塞率与4有 关,随乙增加而减小。当乙=0,仍 有丁 (八)=1;当L21时,由于B点 与E点间只有一个分配点,可有:

用(& 42)式计算(8. 24)式中的丁(八),即可得到图8. 38中四级 网络的阻塞率o (8. 42)式方括号中的内容正是只有一个分配点的两 级网络阻塞计算式,相当于(8.16)式。如果出现分配点的级数再增 加,可按此法用(8.24)式递推,直到只剩下只有一个分配点的两级网 络为止。对于最里层的分配点不必再用(8.24)式,而可使用较简便的 (8.23)或(8.18)式。

如果f>1或/和q>l.可套用对应的递推式。因此,使用表8.1 中的公式,可扩展到解决多级串并型网络阻塞计算的问题。