如果话源数不是很大,则空闲话源数将随出线的占用数而变化,呼叫强度不是一个不变的常数,呼叫的发生不再服从布阿松分布。恩格谢特推导了有限话源的占用概率分布。假设;
①存在统计平衡状态;
②占用时长服从指数分布;
③当出线全忙时,发生的呼叫立即消逝;
④在任一瞬间,不管出线的占用状态如何,每个话源等可能地发生呼叫。
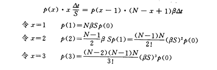
设话源数为N,出线数为全部话源发生的总话务量为>1,每个空闲话源的呼叫强度为们这样,在&开始一个空闲话源在也内发生一次呼叫的概率为心,由(6.9)式得到:


(6.12)式表明,左端为在&开始有h个出线被占用,在&内有一个呼叫释放,在々末为工一1个出线被占用的概率,它等于右端在血开始有卫一1个出线被占用,在血内发生一个呼叫,在&末为卫个出线被占用的概率。
对于有限话源,此式仍然成立,只不过是在也内发生一个呼叫的概率不同。在有限话源的情况下,如果&开始有z—1个出线被占用,则在内发生一个呼叫的概率按(6.7)式应为:
