1. EDFA工作原理
—泵浦光能量转移到信号光
现在具体说明泵浦光是如何将能量转移给信号光的。若掺铒离子的能级图用三能级表示,如图8.1.2a所示,其中能级E1代表基态,能量最低;能级E2代表中间能级;能级E3代表激发态,能量最高。若泵浦光的光子能量等于能级E3与E1之差,掺杂离子吸收泵浦光后,从基 态E1跃升至激活态E3。但是激活态是不稳定的,激发到激活态能级E3 的铒离子很快返回到能级E2。若信号光的光子能量等于能级E2和E1之差,则当处于能级E2的铒离子返回基态E1时就产生信号光子,这就是受激发射,使信号光放大获得增益。图8.1.2b表示EDFA的吸收和增益光谱。为了提高放大器的增益,应尽可能使基态铒离子激发到能级E3。从以上分析可知,能级E2和E1之差必须等于需要放大信号光的光子能量,而泵浦光的光子能量也必须保证使铒离子从基态E1跃迁到激活态E3。

图8.1.2 掺铒光纤放大器的工作原理
a)掺杂离子吸收泵浦光后,从基态E1跃迁至E3,E2的铒离子返回E1时就产生信号光子 b)EDFA的吸收和增益频谱
2. EDFA的特性
EDFA的增益频谱曲线形状取决于光纤芯内掺杂剂的浓度。图8.1.2b 为纤芯掺锗的EDFA的增益频谱和吸收频谱。从图中可知,掺铒光纤放大器的带宽(曲线半最大值带宽)大于10nm。
1. 泵浦特性
图8.1.3为输出信号功率与泵浦功率的关系,由图可见,能量从泵浦光转换成信号光的效率很高,因此EDFA很适合作为功率放大器。泵浦光功率转换为输出信号光功率的效率为92.6%,60mW功率泵浦时,吸收效率((信号输出功率-信号输入功率)/泵浦功率)为88%。

图8.1.3 输出信号功率与泵浦功率的关系
图8.1.4表示小信号增益与泵浦功率的关系,由图可见,当泵浦功率增大到一定值后,小信号增益将发生饱和。
2. 增益频谱
图8.1.5和图8.1.6分别表示将铝与锗同时掺入铒光纤的小信号增益频谱和大信号增益频谱特性,与图8.1.2b比较可见,将铝与锗同时掺入铒光纤可获得比纯掺锗更平坦的增益频谱。

图8.1.4 小信号增益与泵浦功率的关系

图8.1.5 小信号增益频谱

图8.1.6 大信号增益频谱
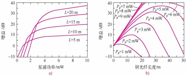
3. 小信号增益
EDFA的增益与铒离子浓度、掺铒光纤长度、芯径和泵浦功率有关。在图8.1.2a所示的掺铒离子能级图中,存在着自发辐射和受激发射。当处于激发态E3能级的离子很快返回到E2能级时产生的辐射是自发辐射,它对信号光的放大不起作用。只有铒离子从E2能级返回E1能级时发生的受激发射,才对信号光的放大有贡献。当忽略自发辐射和激发态吸收时,使用一个简单两能级模型,对EDFA的原理可得到更好的理解。该模型假定三能级系统的激活态能级E3几乎保持空位,因为泵浦到能级E3的离子数快速地转移到能级E2上。
对于给定的放大器长度L,放大器增益最初随泵浦功率按指数函数增加,如图8.1.7a所示,但是当泵浦功率超过一定值后,增益增加就变得缓慢。对于给定的泵浦功率,放大器的最大增益对应一个最佳光纤长度,如图8.1.7b所示,并且当L超过这个最佳值后增益很快降低,其原因是铒光纤的剩余部分没有被泵浦,反而吸收了已放大的信号。既然最佳的L值取决于泵浦功率Pp,那么就有必要选择适当的L和Pp值,以便获得最大的增益。由图8.1.7b可知,当用1.48μm波长的激光泵浦时,如泵浦功率Pp=5mW,放大器长度L=30m,则可获得35dB的光增益。

图8.1.7 小信号增益和泵浦功率与光纤长度的关系
a)小信号增益和泵浦功率的关系 b)小信号增益和光纤长度的关系