1. 定义
FSO英文全称是Free Space Optical Communica tions。中文意思是自由空间光通信。是指以光波为载体,在真空或大气中传递信息的通信技术。 可分为大气光通信、卫星间光通信和星地光通信。大气传输激光通信系统是由两台激光通信机构成的通信系统,它们相互向对方发射被调制的激光脉冲信号(声音或数据),接收并解调来自对方的激光脉冲信号,实现双工通信。
与传统微波通信相比,光通信具有传输速率快、通信容量大、抗电磁干扰性能强、保密性好、通信终端体积小、功耗低等优点,引发各国研究热潮。 自由空间光通信是指以光波为载体、在空间传递信息的通信技术,可分为大气光通信、卫星间光通信和星地间光通信,现分别加以介绍。
2. 一、大气光通信——传输介质为大气
地面大气光通信如图所示。早在20世纪60年代光纤通信出现之前,自由空间光通信的研究就已开始。1930年至1932年间,日本在东京的日本电报公司与每日新闻社之间实现了3.6km的大气光通信,但在大雾大雨天气里效果很差。第二次世界大战期间,光电话发展成为红外线电话,因为红外线肉眼看不见,更有利于保密。

大气由气体、水蒸气、污染物和其他化学粒子组成。大气作为传输媒体,和光纤信道一样也存在吸收和散射,产生功率损耗和波形失真。而且,大气密度和折射率随气候和温度的变化更为明显,所以引起大气沿传输路径的透光特性和传输损耗在随时变化。比如在非常晴朗的天气,能见度达到50~150km,衰减系数为0.03~0.144dB/km;但在浓雾天气时,能见度只有70~250m,衰减系数竟然达到58~220dB/km。另外,光通过透明大气层时,有些波长的光受到很强的吸收,只有某些波长的光,如0.85μm、1.3μm和1.55μm波段的光才具有最大的折射率。因此大气光通信受天气的影响很大,传输容量一直都很小,距离也很短,而且要求收发端天线对准精度很高,所以在民用通信网中几乎没有使用。无线光通信的研究和应用仅局限于星际通信和国防通信领域。
但是近年来,光放大器的普遍应用,光电器件制造技术、系统集成技术和大气信道传输技术的逐渐成熟,对自由空间光通信系统的发展构成有力的支撑。鉴于光纤传输受到传输范围和地域限制,为了实现全方位的通信,自由空间光通信系统逐渐受到了人们的重视。
在自由空间光通信系统中,激光器输出光束与天线的耦合、天线与光探测器的耦合,可以采用直接耦合,如图12.1.8所示,也可以采用光纤耦合,如图12.2.2所示。直接耦合的主要缺点如下。
1) 激光器发射的光束由于散射角不同,光斑粗糙,因此需要对激光器发射光束进行优化,使其达到高斯光束的目的。
2) 接收端光/电转换单元数量随着带宽的扩大而增加,使系统成本增加,必须要提升光/电转换单元的功能,减少其使用数量。
3) 空间光通信设备的发射和接收单元均放置在建筑物屋顶,安装和维护存在一定困难。
而光纤耦合FSO系统,激光器发射高斯光束,耦合进入多模光纤,经传输到天线单元;天线单元的输出光信号也耦合进多模光纤,经传输后到达光接收器。
目前已有多种大气激光通信设备,图表示一般大气激光通信系统的构成,其中值得一提的是工作窗口为1.55μm波长、采用4×2.5Gbit/s密集波分复用技术的设备。这一系统的关键技术是采用多径发射天线以解决对准困难,使用EDFA放大器来补偿光通道损耗。在光发射端,LD的输出光被EDFA放大后,经多模光纤分支器将光信号同时加到发射光学望远镜的孔径上,每个孔径偏移0.5毫弧度(mrad),在大气中传输后到达接收端时的光斑直径为2.2m。光接收终端是一个改进了的施密特-卡塞格伦望远镜天线,自由空间光信号进入该望远镜后被聚焦到芯径为62.5μm的多模光纤上。

大气激光通信系统
3. 二、 大气湍流决定的BER、SNR和Q参数
在大气湍流的影响下,系统误码率(BER)仍可以用式(7.3.3)表示,即

式中,Q参数为

式中,R是探测器灵敏度,I是发射“1”码时接收天线信号辐照度,A是接收天线面积,AI则是接收到的信号功率,αant是光学天线系统损耗系数,αantRAI是接收机在接收数字“1”码时产生的信号电流,是接收“1”码时的均方噪声电流,是接收“0”码时的均方噪声电流。
在大气湍流条件下,比特误码率(BER)是由概率密度函数计算出的平均值

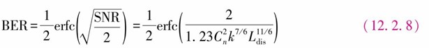
或者用SNR表示BER,即

大气湍流会使光波强度变化,不考虑其他噪声,只考虑大气湍流对通信系统误码率的影响时,可以将光强变化近似看成大气湍流噪声所引起,此时SNR可表示为

式中,I1表示“1”码信号平均信号电平,ε表示噪声和信号的强度比,当ε非常小时,χ≈ln(1+ε)=ε,χ为湍流引起的对数强度起伏(即噪声)。
在弱湍流情况下,可以认为“1”码均方噪声电流就是湍流引起的均方噪声,即

在实际的激光通信系统中,发射端发出的激光经过光学透镜准直后,可以看成平面波,弱湍流条件下,接收“1”码时均方噪声电流

式中,为大气湍流折射率结构常数;k=2π/λ为波数;Ldis为传播距离。
误码率为

当“0”码均方噪声电流与“1”码均方噪声电流近似相等时,Q参数为

由此可见,Q参数与探测器灵敏度R、接收天线口径A、接收天线信号辐照度I(即光发射机发射功率)成正比,而与大气湍流折射率结构常数
和传输距离Ldis的
开方成反比。
4. 三、 星地间光通信
美国、欧洲、日本等国家和地区均在空间激光通信技术领域投入巨资进行相关技术研究和在轨试验,对空间激光通信系统所涉及的各项关键技术展开了全面深入的研究,不断推动空间激光通信技术迈向工程实用化。
20世纪70年代初,美国国家航空航天局(NASA)资助进行了CO2激光和光泵浦的Nd:YAG激光空间通信系统的初步研究。20世纪70年代中期,美国空军资助在飞船上搭载半导体激光发射机进行了飞船与地面之间的外差相干检测接收链路的预研工作。NASA的喷气推进实验室制定过火星与地面之间的激光通信计划,也实施了月球与地面之间的激光通信实验。
美国于2010年开始实施转型卫星通信计划,其目的是建立一个激光通信网络,实现已有的微波通信网络向激光通信网络的过渡,通信速率为10~40Gbit/s,其投资超过200亿美元。
1. 美国月球激光通信演示验证项目
2013年10月,美国国家航空航天局(NASA)成功开展了“月球激光通信演示验证”项目,从月球轨道与多个地面站分别进行了双向激光通信试验,创造了622Mbit/s的下行数据传输速率新纪录,上行数据传输速率也达到20Mbit/s,首次验证了空间激光通信系统的可行性,以及系统在空间环境中的可生存性。
月球激光通信演示验证项目主要包括星上终端、地面终端、月地激光通信操作中心。
(1) 星上终端
美国月球激光通信演示验证项目星上终端如图12.2.3所示。星上终端主要包括安装在飞船载荷仓的外部的光学模块、安装在飞船内部的调制解调模块和控制器电子学模块。光学模块的主要部分是10cm口径的卡塞格伦望远镜发射天线,安装在两轴转台上,可实现大范围光学对准。空间捕获和跟踪使用了大视域的InGaAs四象限探测器。发射光通过光纤传输给望远镜发射,入射光经望远镜聚焦后耦合到光纤。编码数据通过脉冲位置调制(PPM)加载到光信号上,如图12.1.4e所示,该光信号通过掺铒光纤放大器放大到0.5W的平均功率。
调制解调模块中,有光发射与接收器。在接收器中,弱光信号首先被一个低噪声EDFA放大,然后被光电二极管直接检测,光生电流被放大后,通过双PPM解调器对下行链路信号解调、抽样和判决,然后由FPGA解码,如图12.1.4h所示。
控制电子学模块是由单板机构成的航天电子学模块,实现对光学模块中所有执行机构的闭环控制,为飞船间提供命令与遥测接口,对调制解调进行设置与控制。
(2) 地面站终端
美国月球激光通信演示验证项目终端设备如图所示,地面站终端由发射天线阵列、接收天线阵列、控制室组成。采用天线阵列不但增加了天线口径,而且降低了大气湍流对光信号的影响。发射天线由4个15cm口径的折射式望远镜组成,接收天线由4个40cm的反射式望远镜组成。每一个望远镜的光学信号都通过光纤耦合到控制室,与光发射器和接收器相连。这8个望远镜安装于同一个二维转台上。转台可在半球空间内实现光学天线的粗对准。每一个光学天线之后的光学系统都包括一个焦平面阵列探测器(CCD)和一个高速偏转镜,以实现对下行光束的跟踪,同时对每一个光学天线的光轴进行校准。

a)光学模块b)终端调制解调模块

美国月球激光通信演示验证项目终端设备
a)星上终端电子控制模块b)地面终端
(3) 月地激光通信操作中心
在地面站控制室中,实现对转台与天线的控制,以及对光信号的放大、调制和解调。光发射器EDFA对天线聚焦光信号放大到10W,然后被脉冲位置调制器(PPM)调制,发射光束通过偏振保持单模光纤耦合至发射望远镜中。地面终端接收器为超导纳米线阵列光子计数探测器,探测波长范围为600~1700nm,工作在低温环境中,具有单个光子的探测能力。
2. 美国激光通信中继演示验证项目
美国NASA正在开展“激光通信中继演示验证”项目,主要用于验证激光通信技术的有效性和可靠性等。该系统包括2个地球同步轨道星载激光通信终端和2个在夏威夷和加利福尼亚州的地面激光通信终端,如图12.2.5所示。NASA计划于2019年发射星载激光通信终端至地球同步轨道,开展为期2年的激光通信中继演示验证任务。任务中,位于美国加州的地面站将向距地约36000千米的地球同步轨道星载激光通信终端发射激光信号,随后地球同步轨道星载激光通信终端将信号中继到位于夏威夷的另一个地面站。目前,已进入系统整合与测试阶段。

美国NASA正在开展的激光通信中继演示验证项目示意图
3. 中国卫星光通信事业的发展
在中国,卫星光通信也受到了极大的关注。很多大学和研究所积极开展了对卫星光通信技术的研究。与其他国家相比,中国的卫星光通信事业虽然起步较晚,但发展迅速,已经完成了大量的理论和实验工作,目前已进入工程化阶段。
2011年11月,哈尔滨工业大学研制的激光通信终端成功地进行了“海洋二号”卫星与地面间的星地激光通信实验,如图12.2.6所示,实现了中国首次星地高速直接探测激光通信,最高通信数据速率为504Mbit/s,为中国卫星光通信系统实用化打下了基础。

我国的星地间光通信示意图
尽管存在诸多优势,目前我国的自由空间光通信技术整体而言仍处于研究阶段,尚面临诸多技术挑战,如大气湍流、大气衰减等因素的影响和干扰,空间光通信所需的地面基础设施远未完备等。
5. 四、 卫星间光通信
卫星光通信(激光星间链路)具有重要的应用前景,可应用于低轨道(LEO)卫星与同步轨道(GEO)卫星间的通信链路、GEO卫星与GEO卫星间的通信链路、LEO卫星与LEO卫星间的通信链路、空间与地面的通信链路,如图所示,也可用于深空探测、载人航天空间站的通信。GEO(对地静止轨道)卫星距地面的轨道高度为36000km,而LEO卫星距地面的轨道高度小于1000km,中轨道(MEO)卫星距地面的轨道高度为10000~20000km。LEO卫星与LEO卫星的链路距离小于15000km,MEO卫星与MEO卫星、LEO卫星与MEO卫星的链路距离小于35000km,GEO卫星与MEO卫星、GEO卫星与LEO卫星的链路距离小于85000km。
1985年,欧洲空间局(ESA)就实施了半导体激光星间链路试验项目,首次验证了低轨道卫星(1998年发射)至地球同步轨道卫星(2001年发射)的星间通信,同时实现了中继同步卫星与地面站的激光通信。该项目终端开始使用830nm半导体激光器作为通信光源、SiPIN作为探测器,采用激光器强度调制/直接探测(IM/DD)体制,通信速率只有50 Mbit/s,取得了极大成功。从1989年开始,ESA开始研制固体激光器相干检测光通信系统,实现了Nd:YAG激光器BPSK/外差相干检测通信演示系统,通信速率140Mbit/s,误码率10-9,灵敏度每比特28个光子,其他天线光学参数、捕获跟踪探测器、信号光/信标光和探测器参数如表所示。

可建立的空间激光通信链路
表12.2.1欧洲空间局星间链路激光通信终端参数
| 终端名称 | 低轨卫星(LEO)终端 | 高轨(同步)卫星(GEO)终端 | |
| 光学天线 | 天线形式 | 卡塞格伦反射式望远镜,收发共用 | |
| 接收天线口径 | 250 mm | ||
| 发射天线口轻 | 250 mm | 125 mm | |
| 接收视场角 | 8.5毫弧度(mrad) | ||
| 捕获探测器 | 探潸器类型 | CCD (384x288) | CCD (70x70) |
| 像素尺寸 | 23um | ||
| 接收视场角 | 8.64x8.64 mrad | 1.05X1.05 mrad | |
| 触械 | ±0.5像索 | ||
| 跟踪探测器 | 探油器类型 | CCD ( 14×X14),像素尺寸23 um | |
| 视场角 | 0.238 x 0.238 mrad | ||
| 跟踪械 | <0.07微弧度(urad) | ||
| 信号光发射 | 激光器 | GaAIAs L.D,波长847nm | GaAIAs LD,波长819 nm |
| 输出平均功率 | 60 mW, | 37 mW | |
| 光束宽度 | 250mm (高斯光束) | 125 mm (高斯光束) | |
| 光束发散角 | 10微弧度(urad) | 16微弧度(urad) | |
| 信标光发射 | 激光器 | 一 | 19支GaAlAs LD ( 801 nm) |
| 输出平均功率 | — | 每个900nW.总功率3.8W | |
| 光束发散角 | — | 750微弧度(urad) | |
| 信号光接收 | 探测器类型 | — | Si APD |
| 视场角 | 100微弧度(urad) | 70微僦(同) | |
| 探测灵敏度 | -59 dBm | — | |
2008年2月,德国地球观测卫星与美国国防部近红外试验卫星成功地进行了世界上首次星间相干激光链路实验,链路距离最长达到4900km,通信速率为5.625Gbit/s。
2008年11月,欧洲空间局开始制定和实施欧洲数据中继卫星系统计划。该计划包含2个同步地球轨道(GEO)卫星,如图12.2.8所示,它们各自配备了一套激光通信终端,用于星间激光通信链路,可为低轨道卫星、无人机以及地面站之间提供用户数据中继服务。激光通信终端采用二进制相移键控调制,零差相干解调方式,速率为1.8Gbit/s,误码率为10-8量级,通信距离为45000km。
欧洲数据中继系统的首个激光通信中继卫星EDRS系统中的EDRS-A中继卫星已于2014年成功发射,迈出了构建全球首个卫星激光通信业务化运行系统的重要一步。EDRS由3颗同步卫星组成,每颗卫星都装载有用于星间链路的激光通信终端与用于星地链路的Ka波段终端。EDRS-C中继卫星已于2015年发射,星间传输速率可达1.8Gbit/s,星地下行链路Ka波段(20GHz/30GHz)终端提供600Mbit/s速率。在完成一系列在轨测试后,EDRS-A于2016年6月成功传输了雷达卫星的图像,并于2016年7月进入业务运行阶段。EDRS-A载荷实现在轨服务,表明欧洲已率先实现星间高速激光通信技术的业务化应用,是近年来欧洲航天技术快速发展的一个重要里程碑。
欧洲空间局计划在2020年扩展成为全球覆盖系统,形成以激光数据中继卫星与载荷为骨干的天基信息网,实现卫星、空中平台观测数据的近实时传输。

欧洲空间局(ESA)卫星间光通信示意图